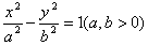
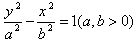
雙曲線的標準方程:
(1)中心在原點,焦點在x軸上:
;
(2)中心在原點,焦點在y軸上:
。
雙曲線的圖像:
(1)焦點在x軸上的雙曲線的圖像
;
(2)焦點在y軸上的雙曲線的圖像
。
判斷雙曲線的焦點在哪個軸上:
判斷雙曲線的焦點在哪個軸上的方法看未知數前的系數,哪一個為正,焦點就在哪一個軸上.
定義法求雙曲線的標準方程:
求動點的軌跡方程時,可利用定義先判斷動點的軌跡,再寫出方程.平面幾何中的定理性質在解決解析幾何問題時起著簡化運算的作用,一定要注意應用,根據雙曲線的定義,到兩個定點的距離之差的絕對值是一個常數的點的軌跡是雙曲線,可以求雙曲線的標準方程,
待定系數法求雙曲線的標準方程:
在求雙曲線標準方程時,可先設出其標準方程,再根據雙曲線的參數a,b,c,e的取值及相互之間的關系,求出a,b的值,已知雙曲線的漸近線方程,求雙曲線方程時,可利用共漸近線雙曲線系方程
,再由其他條件求λ.若焦點不確定時,要注意分類討論.
利用雙曲線的性質求解有關問題:
要解決雙曲線中有關求離心率或求離心率范圍的問題,應找好題中的等量關系或不等關系,構造出離心率
的關系式,這里應和橢圓中a,b,c的關系區(qū)分好,即
幾種特殊的雙曲線:
| 等軸雙曲線 | 實軸和虛軸相等的雙曲線叫做等軸雙曲線.離心率 兩條漸近線互相垂直 |
| 共軛雙曲線 | ![]() ![]() ![]() |
| 共漸近線的雙曲線 | ![]() |
本文來自:逍遙右腦記憶 http://m.douzifanli.com/gaozhong/925200.html
相關閱讀:高中數學知識點:點到直線、平面的距離




兩條漸近線互相垂直


